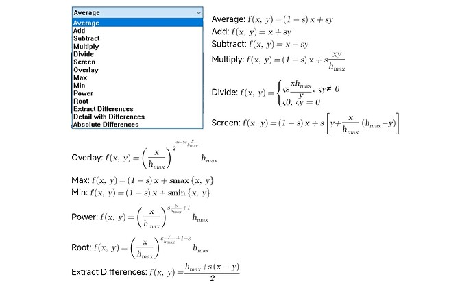
for all those years i learned only:
Average
Add
Substruct
Multiply
Max
Min
Absolute Difference
all others still magic for me, EHEH
also i fugered out that those combining options is not something specific for WorldMachine
same i saw in Blender, and other 3d tools
so i think you able not just ask info on WM forum, but also on any procedural-generation communities
In terms of effect, it seems to only retain high-frequency details, but I’m not clear about the underlying algorithm.
Removing this for now… there are some weird edge cases on it where the Input 2 Gradient is 0.0, so I would assume “no change” rather than “actually 0.0” in the result… hmm.
Stephen power needed ![]()
This is part of it, but it is basically based on experience and cannot be guaranteed to be completely correct.
yooo
useful formula explanation

